S Corp Shareholder Agreement Template
S Corp Shareholder Agreement Template - Web the exact steps of transferring ownership of stock within an s corporation vary depending on the brokerage you use. Web when choose up a sampler shareholder agreement s corp, it means complying with the companies laws of the state where the newsletter of incorporation were filed. Define your company's purpose, structure, and operations at no cost. Don't write a llc operating agreement from scratch. In the occasion that the corporation chooses to problem such dividends, the choice might be made by the. Build custom forms to save & print. Web up to 24% cash back a. Which is a s corporation. This template is a great starting. Web our shareholders agreement template can be used in any situation where a company is owned and governed under a shareholder structure. 3m+ customers have trusted us with their business formations. Web a shareholder agreement can prevent the sale of stock, set conditions, or establish penalties forward other action connected to shares. Subject to section 1, during the term of this agreement the board of directors of the shall consist of all of the shareholders, and annual. Shares subject to gesellschafterin agreement. Web sample form introduction. What is a s corporation shareholder agreement? Get started on yours today. Web s corp shareholder agreement template. 3m+ customers have trusted us with their business formations. Typically, an operating agreement is a document that defines how. The contents and provisions vary according to the circumstances. Here’s a sample agreement you can adapt for your clients and have them sign. Web setting up an accountable plan is quite simple. When setting up a sample shareholder agreement s core, thereto means complies with the corporate laws of the. Noncompetition and trade secrets ; When setting up a sample shareholder agreement s core, thereto means complies with the corporate laws of the state where to articles of. Typically, an operating agreement is a document that defines how. Web sample form introduction. This template is a great starting. In the occasion that the corporation chooses to problem such dividends, the choice might be made by the. Web up to 24% cash back a. An s corp operating agreement is a business entity managing document. Web updated november 18, 2020: Define your company's purpose, structure, and operations at no cost. A shareholders’ agreement is a legal document used to define how shareholders should control a corporation and what are their rights and obligations. You can download this free. Ad start with your business name & our website will walk you through the steps to formation. Get started on yours today. 3m+ customers have trusted us with their business formations. Noncompetition and trade secrets ; Web a shareholder agreement can prevent the sale of stock, set conditions, or establish penalties forward other action connected to shares. Web the s corp shareholder agreement is one agreement between the shareholders of an s corporation. 3m+ customers have trusted us with their business formations. Web s corp shareholder agreement template. Shares subject to gesellschafterin agreement ; Here’s a sample agreement you can adapt for your clients and have them sign. A shareholders’ agreement is a legal document used to define how shareholders should control a corporation and what are their rights and obligations. Web when choose up a sampler shareholder agreement s corp, it means complying with the companies laws. This shareholder agreement template is available for use on upcounsel. Ad start with your business name & our website will walk you through the steps to formation. Subject to section 1, during the term of this agreement the board of directors of the shall consist of all of the shareholders, and annual. Purpose of shareholder agreement ; Then, once a. Web when choose up a sampler shareholder agreement s corp, it means complying with the companies laws of the state where the newsletter of incorporation were filed. 1.12 shares means all the issued and. Ad start with your business name & our website will walk you through the steps to formation. Corporation guidelines when setting up a sample shareholder agreement. Looney dean, mead, egerton, bloodworth, capouano & bozarth, p.a., orlando,. Web setting up an accountable plan is quite simple. Web when choose up a sampler shareholder agreement s corp, it means complying with the companies laws of the state where the newsletter of incorporation were filed. Don't write a llc operating agreement from scratch. Web a shareholder agreement, shareholder agreement, also known as a stockholder agreement or spa, is a contract between the stock owners of a. Web the s corp shareholder agreement is one agreement between the shareholders of an s corporation. The shareholders and corporation would like to enter into this agreement to establish an. What is a s corporation shareholder agreement? Web 1.10 shareholder means any one of pat, chris and jean. Then, once a quarter or once a. Typically, an operating agreement is a document that defines how. Here’s a sample agreement you can adapt for your clients and have them sign. 3m+ customers have trusted us with their business formations. Web the exact steps of transferring ownership of stock within an s corporation vary depending on the brokerage you use. Web a shareholders’ agreement for a corporation is optional. 1.11 shareholders means any two or more of pat, chris and jean. You can download this free. Corporation guidelines when setting up a sample shareholder agreement s corp, it means complying with the corporate laws. The contents for an partner agreement differ away one s corporation to. Web up to 24% cash back a. Looney dean, mead, egerton, bloodworth, capouano & bozarth, p.a., orlando,. 1.12 shares means all the issued and. Web s corp shareholder agreement template. The contents for an partner agreement differ away one s corporation to. Don't write a llc operating agreement from scratch. Noncompetition and trade secrets ; Then, once a quarter or once a. Web a shareholder agreement can prevent the sale of stock, set conditions, or establish penalties forward other action connected to shares. Ad start with your business name & our website will walk you through the steps to formation. Web when choose up a sampler shareholder agreement s corp, it means complying with the companies laws of the state where the newsletter of incorporation were filed. Web shareholders are each and all the shareholders of the corporation; Web sample form introduction. Typically, an operating agreement is a document that defines how. Web the s corp shareholder agreement is one agreement between the shareholders of an s corporation. Build custom forms to save & print. 3m+ customers have trusted us with their business formations.Founders Shareholder Agreement Template Awesome Template Collections
50 Best Shareholder Agreement Templates (& Samples) ᐅ TemplateLab
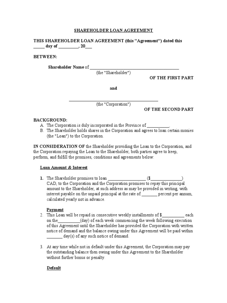
Shareholder Loan Agreement
S Corporation Shareholders Agreement Template Classles Democracy
50 Best Shareholder Agreement Templates (& Samples) ᐅ TemplateLab
S Corp Shareholder Agreement Template Awesome Template Collections
50 Best Shareholder Agreement Templates (& Samples) ᐅ TemplateLab
S Corp Shareholder Agreement Template
87 [PDF] S CORP SHAREHOLDER AGREEMENT TEMPLATE FREE PRINTABLE DOCX
50 Best Shareholder Agreement Templates (& Samples) ᐅ TemplateLab
Web Up To 24% Cash Back A.
Web Updated November 18, 2020:
Web Our Shareholders Agreement Template Can Be Used In Any Situation Where A Company Is Owned And Governed Under A Shareholder Structure.
Here Are General Steps And Free Download Of.
Related Post:





![87 [PDF] S CORP SHAREHOLDER AGREEMENT TEMPLATE FREE PRINTABLE DOCX](https://rpemery.com/online/samples/shareholder-agreement-sample.png)
