Rfp Checklist Template
Rfp Checklist Template - 3pl, finance, partnership when it comes. Web just breathe—trust in yourself and your team. The buyer will focus on the. The common pitfalls an rfp process checklist can help you escape are: Web rfp template here, we’ve provided an rfp template you can follow for initial structure, as well as a sample rfp for further inspiration. A request for proposal (rfp) checklist catalogs the steps, information and documents required to create and complete an rfp. Are you grinding it or missing. Naturally, you’ll want to customize these to meet your. Essential things to include in every bid tags: Web the technical requirements are concise, the proposal requirements are clear, and the response mechanism is straightforward. Web use this request for proposal (rfp) checklist in conjunction with the mandatory use rfp templatedeveloped by das procurement services and the attorney general’s office. Web rfp template here, we’ve provided an rfp template you can follow for initial structure, as well as a sample rfp for further inspiration. Essential things to include in every bid tags: Web are you. A request for proposal (rfp) checklist catalogs the steps, information and documents required to create and complete an rfp. Are you grinding it or missing. Web rfp template here, we’ve provided an rfp template you can follow for initial structure, as well as a sample rfp for further inspiration. The buyer will focus on the. Web this printable rfp checklist. Web download a request for proposal (rfp) template. Includes a requirements checklist with modules, features and functions. Web rfp template here, we’ve provided an rfp template you can follow for initial structure, as well as a sample rfp for further inspiration. Use this free rfp checks template to floor, track, and submitting winning promotions on time. Web use this request. Are you grinding it or missing. Web 3pl solutions march 2020 | feature stories the ultimate rfp checklist for shippers: Issuing and administering the rfp. Formstemplates.com has been visited by 100k+ users in the past month The common pitfalls an rfp process checklist can help you escape are: Formfindr.com has been visited by 10k+ users in the past month Web 3pl solutions march 2020 | feature stories the ultimate rfp checklist for shippers: Web download a request for proposal (rfp) template. Web this printable rfp checklist includes detailed steps for: Web use this request for proposal (rfp) checklist in conjunction with the mandatory use rfp templatedeveloped by das. Issuing and administering the rfp. Naturally, you’ll want to customize these to meet your. 3pl, finance, partnership when it comes. Web the technical requirements are concise, the proposal requirements are clear, and the response mechanism is straightforward. Web rfp checklist the rfp checklist for the buyer will differ from the checklist a vendor would use when they are responding to. Formfindr.com has been visited by 10k+ users in the past month Essential things to include in every bid tags: Web 1 rfp templates 2 what is the purpose of an rfp? Web the technical requirements are concise, the proposal requirements are clear, and the response mechanism is straightforward. Are you grinding it or missing. Web use this request for proposal (rfp) checklist in conjunction with the mandatory use rfp templatedeveloped by das procurement services and the attorney general’s office. Formstemplates.com has been visited by 100k+ users in the past month 3 steps for creating an. Use this free rfp checks template to floor, track, and submitting winning promotions on time. Essential things to include. The buyer will focus on the. Web rfp template here, we’ve provided an rfp template you can follow for initial structure, as well as a sample rfp for further inspiration. The common pitfalls an rfp process checklist can help you escape are: Web rfp checklist the rfp checklist for the buyer will differ from the checklist a vendor would use. The buyer will focus on the. Web use this request for proposal (rfp) checklist in conjunction with the mandatory use rfp templatedeveloped by das procurement services and the attorney general’s office. Includes a requirements checklist with modules, features and functions. A request for proposal (rfp) checklist catalogs the steps, information and documents required to create and complete an rfp. Web. Using an rfp checklist enables strategic sourcing and procurement managers to improve consistency, reduce risk and organize the rfp process. Web marketing basics the ultimate guide to creating a request for proposal (with an rfp template!) kate churkina may 23, 2022 7 min read a request for. This document is intended to guide rhode island state agencies through the request for proposals (rfp) procurement process, from. Web rfp checklist the rfp checklist for the buyer will differ from the checklist a vendor would use when they are responding to your proposal. 3pl, finance, partnership when it comes. Includes a requirements checklist with modules, features and functions. 5 what is the difference. Web just breathe—trust in yourself and your team. Use this free rfp checks template to floor, track, and submitting winning promotions on time. Web rfp template here, we’ve provided an rfp template you can follow for initial structure, as well as a sample rfp for further inspiration. Are you grinding it or missing. 3 steps for creating an. The buyer will focus on the. Web 3pl solutions march 2020 | feature stories the ultimate rfp checklist for shippers: Web the technical requirements are concise, the proposal requirements are clear, and the response mechanism is straightforward. Web this printable rfp checklist includes detailed steps for: Web are you crushing your proposal deadlines? 3 request for proposal templates 4 what is included in a request for proposal? Essential things to include in every bid tags: Web save time by downloading this rfp checklist template 📋 which you can quickly customize with a workflow that works best for your team. Web this printable rfp checklist includes detailed steps for: Web just breathe—trust in yourself and your team. Web download a request for proposal (rfp) template. 3pl, finance, partnership when it comes. Web rfp checklist the rfp checklist for the buyer will differ from the checklist a vendor would use when they are responding to your proposal. Use this free rfp checks template to floor, track, and submitting winning promotions on time. The common pitfalls an rfp process checklist can help you escape are: Includes a requirements checklist with modules, features and functions. This document is intended to guide rhode island state agencies through the request for proposals (rfp) procurement process, from. Web rfp template here, we’ve provided an rfp template you can follow for initial structure, as well as a sample rfp for further inspiration. 3 request for proposal templates 4 what is included in a request for proposal? Web save time by downloading this rfp checklist template 📋 which you can quickly customize with a workflow that works best for your team. Are you grinding it or missing. Web the technical requirements are concise, the proposal requirements are clear, and the response mechanism is straightforward. Web are you crushing your proposal deadlines? 3 steps for creating an.Request For Proposal (RFP) Template (MS Word/Excel) Templates, Forms
Vendor Scorecard Template Xls Unique 21 Of Rfp Scoring Template Xls
Project RFP Process Checklist
Contract Management Rfp Spreadsheet Template Download Printable PDF
RFP Checklist How to Develop an A/V Services RFP for your event
Checklist Sample Format for Responding to RFP Template Google Docs
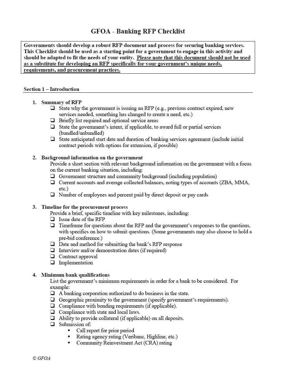
Banking RFP Checklist
Proposal Checklist
Checklist for Responding to RFP Template in Word, Google Docs, Apple Pages
Sponsorship Proposal Checklist Template Download Printable PDF
Using An Rfp Checklist Enables Strategic Sourcing And Procurement Managers To Improve Consistency, Reduce Risk And Organize The Rfp Process.
A Request For Proposal (Rfp) Checklist Catalogs The Steps, Information And Documents Required To Create And Complete An Rfp.
The Buyer Will Focus On The.
Issuing And Administering The Rfp.
Related Post:








