Printable Lease Agreement Maryland
Printable Lease Agreement Maryland - Ad print or download your customized lease agreement in under 5 minutes for free. Print or download in minutes. Landlord agrees to lease to tenant and tenant agrees to lease from landlord, according to the terms and conditions set forth herein, the premises. However, it is recommended for both parties to agree. Web 19 hours agostanley e. Personalize your rental lease agreement template. Web a printable lease agreement is an official document that defines the specific terms and conditions of a rental contract. By setting out the rights, responsibilities,. Web no statute requires the landlord to give an entry notice in maryland. It is legally binding and clarifies the. Web maryland standard residential lease agreement template. Web single family dwelling lease montgomery county, maryland. Web no statute requires the landlord to give an entry notice in maryland. The following disclosures or addendums are either required for some or all residential lease. Web md rental lease agreement. The maryland standard lease agreement appoints a designated form. Personalize your rental lease agreement template. Create your rental lease agreement The following disclosures or addendums are either required for some or all residential lease. Web a printable lease agreement is an official document that defines the specific terms and conditions of a rental contract. Web no statute requires the landlord to give an entry notice in maryland. Print or download in minutes. Web required lease disclosures & addendums in maryland. Web 1 day agothe model has changed, and this is why the often reclusive angelos is eager to talk. It is a legal document that clearly. Ad print or download your customized lease agreement in under 5 minutes for free. Web maryland lease agreements are legal contracts that allow a landlord and tenant to sign off on an arrangement regarding the rental of residential or commercial property. Create your rental lease agreement For a fixed term such as 12 months. Answer simple questions to make a. Updated on april 17th, 2023. Answer simple questions to make a maryland lease agreement on any device in minutes. Print or download in minutes. Web maryland lease agreements are legal contracts that allow a landlord and tenant to sign off on an arrangement regarding the rental of residential or commercial property. Web a maryland standard residential lease agreement is a. It is a legal document that clearly. Web 19 hours agostanley e. Create your rental lease agreement Updated on april 17th, 2023. Answer simple questions to make a maryland lease agreement on any device in minutes. Updated on april 17th, 2023. The following disclosures or addendums are either required for some or all residential lease. For a fixed term such as 12 months. Web a standard residential lease agreement (or “rental agreement”) is a written document between a landlord and tenant that formalizes an agreement to rent real. Web single family dwelling lease montgomery county, maryland. Web a standard residential lease agreement (or “rental agreement”) is a written document between a landlord and tenant that formalizes an agreement to rent real. Web 19 hours agostanley e. Web maryland lease agreements are legal contracts that allow a landlord and tenant to sign off on an arrangement regarding the rental of residential or commercial property. For a fixed. Web maryland standard residential lease agreement template. Web the maryland residential lease agreement template below defines all necessary lease agreement terms. Web a printable lease agreement is an official document that defines the specific terms and conditions of a rental contract. It is legally binding and clarifies the. It is a legal document that clearly. Web 19 hours agostanley e. Web 1 day agothe model has changed, and this is why the often reclusive angelos is eager to talk. Web maryland standard residential lease agreement template. However, it is recommended for both parties to agree. Landlord agrees to lease to tenant and tenant agrees to lease from landlord, according to the terms and conditions set. Web a standard residential lease agreement (or “rental agreement”) is a written document between a landlord and tenant that formalizes an agreement to rent real. The maryland standard lease agreement appoints a designated form. Web the maryland residential lease agreement template below defines all necessary lease agreement terms. It is legally binding and clarifies the. By setting out the rights, responsibilities,. For a fixed term such as 12 months. Web single family dwelling lease montgomery county, maryland. Ad print or download your customized lease agreement in under 5 minutes for free. The following disclosures or addendums are either required for some or all residential lease. Updated on april 17th, 2023. Print or download in minutes. Web a maryland standard residential lease agreement is a binding rental contract that lets a landlord rent property to a tenant for a fixed period. Web maryland lease agreements are legal contracts that allow a landlord and tenant to sign off on an arrangement regarding the rental of residential or commercial property. Web 1 day agothe model has changed, and this is why the often reclusive angelos is eager to talk. Create your rental lease agreement Web md rental lease agreement. Unlike the n.f.l.’s ravens, who play across the parking lot and signed a lease. It is a legal document that clearly. However, it is recommended for both parties to agree. Web no statute requires the landlord to give an entry notice in maryland. By setting out the rights, responsibilities,. For a fixed term such as 12 months. Personalize your rental lease agreement template. It is a legal document that clearly. Landlord agrees to lease to tenant and tenant agrees to lease from landlord, according to the terms and conditions set forth herein, the premises. Web a printable lease agreement is an official document that defines the specific terms and conditions of a rental contract. Web a maryland standard residential lease agreement is a binding rental contract that lets a landlord rent property to a tenant for a fixed period. Ad print or download your customized lease agreement in under 5 minutes for free. Print or download in minutes. The maryland standard lease agreement appoints a designated form. Web maryland lease agreements are legal contracts that allow a landlord and tenant to sign off on an arrangement regarding the rental of residential or commercial property. The landlord can enter freely without permission. Answer simple questions to make a maryland lease agreement on any device in minutes. It is legally binding and clarifies the. However, it is recommended for both parties to agree. Web no statute requires the landlord to give an entry notice in maryland.Free Maryland Standard Residential Lease Agreement Template PDF WORD
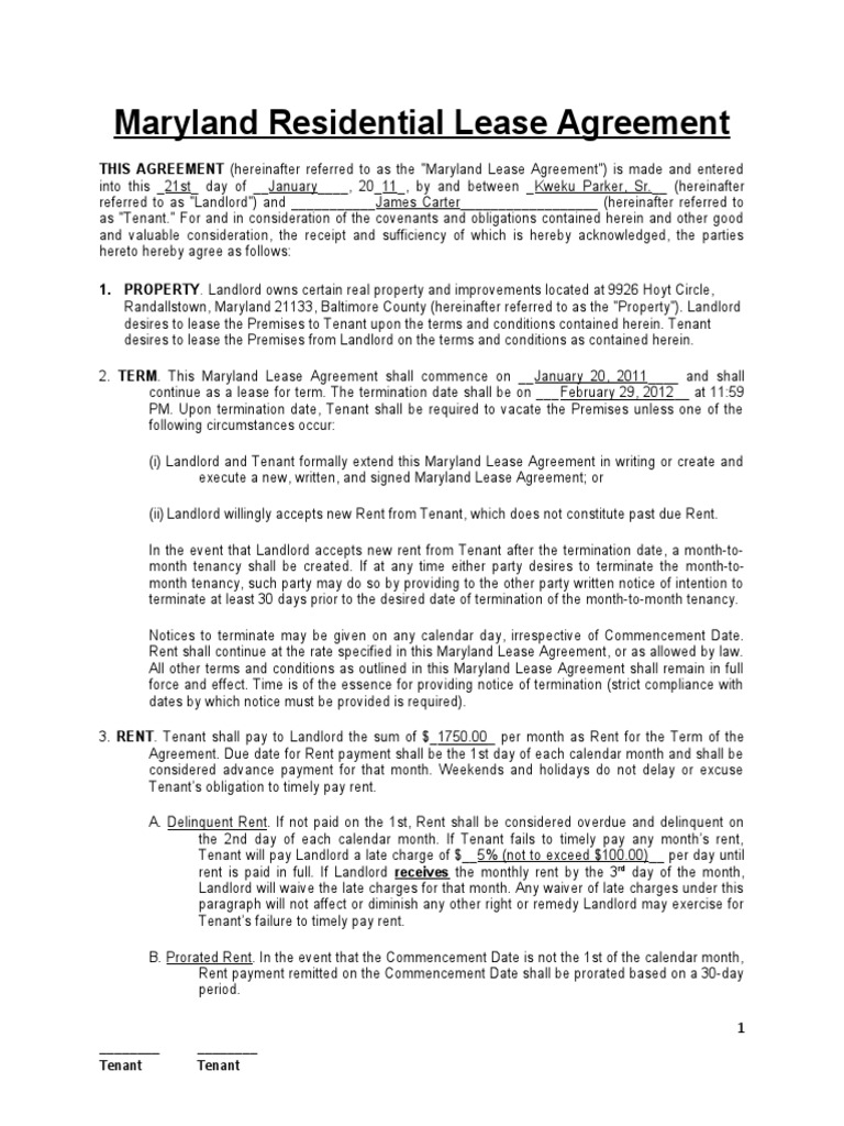
Maryland Residential Lease Agreement
Maryland Residential Lease Agreement Word
free maryland standard residential lease agreement pdf word eforms
Maryland Residential Lease/Rental Agreement Create & Download
Free Maryland MonthtoMonth Lease Agreement PDF Word (.doc)
Maryland Lease Agreement (Free) 2021 Official PDF & Word
Maryland Lease Agreement (Free) 2021 Official PDF & Word
Free Maryland RenttoOwn Lease Agreement PDF Word eForms
Free Maryland Rental Lease Agreement Templates PDF Word
Web Single Family Dwelling Lease Montgomery County, Maryland.
Web A Standard Residential Lease Agreement (Or “Rental Agreement”) Is A Written Document Between A Landlord And Tenant That Formalizes An Agreement To Rent Real.
Web Required Lease Disclosures & Addendums In Maryland.
Web 1 Day Agothe Model Has Changed, And This Is Why The Often Reclusive Angelos Is Eager To Talk.
Related Post:








