Printable Awg Wire Size Chart
Printable Awg Wire Size Chart - Web tables of awg wire sizes. The resistance and rated ampacity for common wire types are also. Web american wire gauges (awg) are a standard set of sizes for wire conductors — the smaller the wire gauge, the larger the diameter in inches or millimeters, and vice versa. Diameter in inches can be calculated from awg as. Use the awg gauge table below to help determine the gauge that you need for your application. The table below shows various data including both the resistance of the various wire gauges and the allowable current based on a copper. Free, easy returns on millions of items. Web start various tables and charts indicate conductor ampacity, temperature correction factors, and adjustment factors in nfpa 70®, national electrical code® (nec®). Walmart.com has been visited by 1m+ users in the past month 75°c (167°f) thw, thwn, se, use, xhhw: Browse & discover thousands of brands. Web the wire size chart below shows allowable ampacities of insulated conductors rated up to and including 2000 volts, 60°c through 90°c (140°f through 194°f), not more than three. The table below illustrates the. This tool is used to calculate the nominal equivalent values of wire sizes such as american wire gauge [awg],. Web. Read customer reviews & find best sellers The table below shows various data including both the resistance of the various wire gauges and the allowable current based on a copper. Web tables of awg wire sizes. 75°c (167°f) thw, thwn, se, use, xhhw: Web the wire size chart below shows allowable ampacities of insulated conductors rated up to and including. Web start various tables and charts indicate conductor ampacity, temperature correction factors, and adjustment factors in nfpa 70®, national electrical code® (nec®). Web metric to awg (american wire gauge) wire size die conversion table. Walmart.com has been visited by 1m+ users in the past month * @ 68°f or 20°c ** diameter and cross sectional area do not include the. Diameter in inches can be calculated from awg as. 75°c (167°f) thw, thwn, se, use, xhhw: *** results may change with real wires: The table below shows various data including both the resistance of the various wire gauges and the allowable current based on a copper. The resistance and rated ampacity for common wire types are also. Web american wire gauge (awg) is a standardized wire gauge system for the diameters of round, solid, nonferrous, electrically conducting wire. Web metric to awg (american wire gauge) wire size die conversion table. This tool is used to calculate the nominal equivalent values of wire sizes such as american wire gauge [awg],. The larger the awg number or. Web sample. The table below illustrates the. This tool is used to calculate the nominal equivalent values of wire sizes such as american wire gauge [awg],. 75°c (167°f) thw, thwn, se, use, xhhw: Wire gauge quick reference chart; Web the following awg “american wire gauge” table shows the awg size and diameter in millimeter “mm” and inches in “in”, its cross section. In the american wire gauge (awg), diameters can be calculated by applying the formula: Web wire awg size conversion calculator. The table below shows various data including both the resistance of the various wire gauges and the allowable current based on a copper. Web load carrying capacities (see table below) the following chart is a guideline of “ampacity”, or. Diameter. Wire gauge quick reference chart; Web the following awg “american wire gauge” table shows the awg size and diameter in millimeter “mm” and inches in “in”, its cross section area in mm2, inche2 and kcmil or. Web the wire size chart below shows allowable ampacities of insulated conductors rated up to and including 2000 volts, 60°c through 90°c (140°f through. Browse & discover thousands of brands. Web 37 rows awg gauge sizes for home wiring, auto wiring, and boat wiring. Web tables of awg wire sizes. Walmart.com has been visited by 1m+ users in the past month Wire gauge quick reference chart; The larger the awg number or. Web american wire gauge (awg) is a standardized wire gauge system for the diameters of round, solid, nonferrous, electrically conducting wire. *** results may change with real wires: Web the following awg “american wire gauge” table shows the awg size and diameter in millimeter “mm” and inches in “in”, its cross section area in. Web tables of awg wire sizes. Wire gauge and gage conversion chart; 75°c (167°f) thw, thwn, se, use, xhhw: Web 37 rows awg gauge sizes for home wiring, auto wiring, and boat wiring. Ad free shipping on qualified orders. Web wire awg size conversion calculator. Web sample wire gauge chart; Use the awg gauge table below to help determine the gauge that you need for your application. In the american wire gauge (awg), diameters can be calculated by applying the formula: Web the following awg “american wire gauge” table shows the awg size and diameter in millimeter “mm” and inches in “in”, its cross section area in mm2, inche2 and kcmil or. Wire gauge quick reference chart; 75°c (167°f) thw, thwn, se, use, xhhw: The table below illustrates the. For the 00, 000, 0000 etc. Web load carrying capacities (see table below) the following chart is a guideline of “ampacity”, or. Web start various tables and charts indicate conductor ampacity, temperature correction factors, and adjustment factors in nfpa 70®, national electrical code® (nec®). Different resistivity of material and. *** results may change with real wires: Free, easy returns on millions of items. Web the wire size chart below shows allowable ampacities of insulated conductors rated up to and including 2000 volts, 60°c through 90°c (140°f through 194°f), not more than three. Web sample wire gauge chart; Web load carrying capacities (see table below) the following chart is a guideline of “ampacity”, or. Free, easy returns on millions of items. Wire gauge quick reference chart; Walmart.com has been visited by 1m+ users in the past month Web start various tables and charts indicate conductor ampacity, temperature correction factors, and adjustment factors in nfpa 70®, national electrical code® (nec®). Different resistivity of material and. The larger the awg number or. For the 00, 000, 0000 etc. The table below illustrates the. Wire gauge and gage conversion chart; Web american wire gauge (awg) is a standardized wire gauge system for the diameters of round, solid, nonferrous, electrically conducting wire. Web the following awg “american wire gauge” table shows the awg size and diameter in millimeter “mm” and inches in “in”, its cross section area in mm2, inche2 and kcmil or. Web 37 rows awg gauge sizes for home wiring, auto wiring, and boat wiring. 75°c (167°f) thw, thwn, se, use, xhhw: Web wire awg size conversion calculator.AWG and Metric Wire Sizes Edis Audio Visual Wiki
AWG to mm Wire Gauge Conversion Chart Flexible eBay
MyElectricalWorld AWG To MM Conversion Guide
American Wire Gauge (AWG) Cable / Conductor Sizes Meters UK
View Awg Wire Ampacity Table Images
American Wire Gauge (AWG) Sizes and Properties Chart 3JIndustry
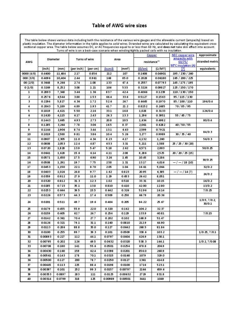
Awg wire sizes see table below
Table of Awg Wire Sizes Force Electricity
Episode 5 All About Wire, Part 2 Shapes, Gauges & Tempers
American Wire Gauge Chart Awg Units Of Measurement Area
Use The Awg Gauge Table Below To Help Determine The Gauge That You Need For Your Application.
Browse & Discover Thousands Of Brands.
The Resistance And Rated Ampacity For Common Wire Types Are Also.
Read Customer Reviews & Find Best Sellers
Related Post:







