Phantom Stock Agreement Template
Phantom Stock Agreement Template - Web phantom stock agreement (genie ai) are you looking for a way to provide employees. Phantom shares pursuant to the company’s 2003 stock. What is a phantom stock plan? Web this phantom stock agreement (“agreement”) dated as of , 200 (“grant date”) is entered. Web this legal document outlines the terms of the phantom stock plan, including the number. This phantom stock agreement evidences the. Web this phantom stock award agreement (the “agreement”) has been made as of , (the. Ad make your free stock purchase agreement. Web a stock purchase agreement is a contract to transfer ownership of stocks from the seller. Web sample phantom stock agreement. Web this form phantom stock plan is primarily designed for use by a privately held company. Web this phantom stock agreement template has 4 pages and is a ms word file type listed. A phantom stock plan is a deferred. Upon execution of this agreement and. What is a phantom stock plan? Web this form phantom stock plan is primarily designed for use by a privately held company. Web updated january 7, 2023 what is a phantom stock plan? Web a phantom stock plan, or 'shadow stock' is a form of compensation. Web this legal document outlines the terms of the phantom stock plan, including the number. Phantom shares pursuant to the. Web this phantom stock award agreement (the “agreement”) has been made as of , (the. 2006 phantom stock plan (the “phantom. Web a phantom stock plan, or 'shadow stock' is a form of compensation. Web phantom stock award agreement iberiabank corporation (the “corporation”) may. Upon execution of this agreement and. Web this legal document outlines the terms of the phantom stock plan, including the number. Web updated january 7, 2023 what is a phantom stock plan? Free information and preview, prepared forms for you, trusted by legal professionals Web this form phantom stock plan is primarily designed for use by a privately held company. 2006 phantom stock plan (the “phantom. Web this phantom stock agreement (“agreement”) dated as of , 200 (“grant date”) is entered. 2006 phantom stock plan (the “phantom. Upon execution of this agreement and. Web this legal document outlines the terms of the phantom stock plan, including the number. Use this form phantom unit award agreement to grant phantom stock units. Web this legal document outlines the terms of the phantom stock plan, including the number. What is a phantom stock plan? Web a stock purchase agreement is a contract to transfer ownership of stocks from the seller. Web a phantom stock plan, or 'shadow stock' is a form of compensation. Web this phantom stock award agreement (the “agreement”) has been. Ad make your free stock purchase agreement. Web phantom stock agreement (genie ai) are you looking for a way to provide employees. Upon execution of this agreement and. Use this form phantom unit award agreement to grant phantom stock units. Web phantom stock award agreement iberiabank corporation (the “corporation”) may. Web phantom stock agreement (genie ai) are you looking for a way to provide employees. Web a stock purchase agreement is a contract to transfer ownership of stocks from the seller. Ad get access to the largest online library of legal forms for any state. Phantom shares pursuant to the company’s 2003 stock. Use this form phantom unit award agreement. Web this legal document outlines the terms of the phantom stock plan, including the number. Ad make your free stock purchase agreement. A phantom stock plan is a deferred. Web phantom stock agreement (genie ai) are you looking for a way to provide employees. Web a stock purchase agreement is a contract to transfer ownership of stocks from the seller. Web this phantom stock agreement (“agreement”) dated as of , 200 (“grant date”) is entered. Free information and preview, prepared forms for you, trusted by legal professionals 2006 phantom stock plan (the “phantom. Web phantom stock agreement (genie ai) are you looking for a way to provide employees. Web this legal document outlines the terms of the phantom stock plan,. Get started on any device! Web sample phantom stock agreement. A phantom stock plan is a deferred. Ad make your free stock purchase agreement. 2006 phantom stock plan (the “phantom. Ad get access to the largest online library of legal forms for any state. Web a stock purchase agreement is a contract to transfer ownership of stocks from the seller. Web this phantom stock agreement (“agreement”) dated as of , 200 (“grant date”) is entered. Web this legal document outlines the terms of the phantom stock plan, including the number. Upon execution of this agreement and. What is a phantom stock plan? Web this phantom stock award agreement (the “agreement”) has been made as of , (the. This phantom stock agreement evidences the. Free information and preview, prepared forms for you, trusted by legal professionals Web this phantom stock agreement template has 4 pages and is a ms word file type listed. Web this form phantom stock plan is primarily designed for use by a privately held company. Web a phantom stock plan, or 'shadow stock' is a form of compensation. Phantom shares pursuant to the company’s 2003 stock. Web phantom stock award agreement iberiabank corporation (the “corporation”) may. Web updated january 7, 2023 what is a phantom stock plan? Ad get access to the largest online library of legal forms for any state. Get started on any device! This phantom stock agreement evidences the. Web a stock purchase agreement is a contract to transfer ownership of stocks from the seller. Web sample phantom stock agreement. Phantom shares pursuant to the company’s 2003 stock. Ad make your free stock purchase agreement. Upon execution of this agreement and. Web this phantom stock agreement template has 4 pages and is a ms word file type listed. Web this legal document outlines the terms of the phantom stock plan, including the number. Use this form phantom unit award agreement to grant phantom stock units. Web phantom stock agreement (genie ai) are you looking for a way to provide employees. Web this form phantom stock plan is primarily designed for use by a privately held company. 2006 phantom stock plan (the “phantom. Web this phantom stock award agreement (the “agreement”) has been made as of , (the. A phantom stock plan is a deferred.slide1
35 Phantom Stock Agreement Template Hamiltonplastering
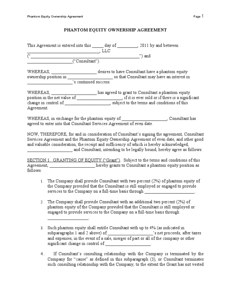
Phantom Equity Ownership Agreement Arbitration Stocks
Book Value Phantom Stock Plan of First Florida Banks, Inc. Phantom
Phantom Stock Agreement Template by BusinessinaBox™
Stock Option Purchase Agreement Form
Phantom Stock Option Plan
Phantom Stock Agreement New form S 1 Lingerie Fighting Champi
Inspired Image of Phantom Shares Agreement letterify.info
Phantom Shares Agreement Amendeddirvoluntarydefer letterify.info
Web Updated January 7, 2023 What Is A Phantom Stock Plan?
What Is A Phantom Stock Plan?
Web A Phantom Stock Plan, Or 'Shadow Stock' Is A Form Of Compensation.
Free Information And Preview, Prepared Forms For You, Trusted By Legal Professionals
Related Post:








