Nominee Shareholder Agreement Template
Nominee Shareholder Agreement Template - Free information and preview, prepared forms for you, trusted by legal professionals Web a stock nominee agreement is a form of nominee agreement where one person, the. Web up to $3 cash back download now of 6 dated [insert date] 2019 (1) [insert name. Easily customize your shareholder agreement. Ad answer simple questions to make a shareholder agreement on any device in minutes. Web a nominee shareholder agreement is a contract between two or more parties that sets. Web 1 exhibit 3.3 nominee shareholder agreement this agreement made the. Web when writing a shareholder agreement sample, make sure it will: Web choose pdf or docx file format for your nominee agreement for shares template. Web this agreement covers all the important legal issues related to the nominee. Web a stock nominee agreement is a form of nominee agreement where one person, the. Web download our nominee agreement template designed for lawyers and business. The agreement between the nominee, custodian and manager. Web 1) the nominee shareholder hereby agree to hold the 19% equity interest (“ said. Web choose pdf or docx file format for your nominee agreement. Web our nominee shareholder agreement template is the perfect solution for you. Web this agreement covers all the important legal issues related to the nominee. Ad create your template with a simple form. Free information and preview, prepared forms for you, trusted by legal professionals Ad get access to the largest online library of legal forms for any state. Web our nominee shareholder agreement template is the perfect solution for you. Web download preview this declaration of trust (nominee agreement) should be used. The agreement between the nominee, custodian and manager. Web a nominee shareholder agreement is a contract between two or more parties that sets. Web up to $3 cash back download now of 6 dated [insert date]. Web a nominee shareholder agreement is a contract between two or more parties that sets. Web download preview this declaration of trust (nominee agreement) should be used. Web 1 exhibit 3.3 nominee shareholder agreement this agreement made the. Web up to $3 cash back download now of 6 dated [insert date] 2019 (1) [insert name. Ad create your template with. Easily customize your shareholder agreement. Web a stock nominee agreement is a form of nominee agreement where one person, the. Web up to $3 cash back download now of 6 dated [insert date] 2019 (1) [insert name. Web once the agreement is executed, the concerned property is then registered in the name. Web a nominee shareholder agreement is a contract. Ad create your template with a simple form. Ad get access to the largest online library of legal forms for any state. Web (the above gives the shareholders some clout in the event that a useless nominee is. The agreement between the nominee, custodian and manager. Easily customize your shareholder agreement. Web 1) the nominee shareholder hereby agree to hold the 19% equity interest (“ said. Ad create your template with a simple form. Web 1 exhibit 3.3 nominee shareholder agreement this agreement made the. Web up to $3 cash back download now of 6 dated [insert date] 2019 (1) [insert name. Web once the agreement is executed, the concerned property. The sample form is intended as a resource for attorneys, but is not a. Ad get access to the largest online library of legal forms for any state. Web once the agreement is executed, the concerned property is then registered in the name. Web when writing a shareholder agreement sample, make sure it will: Web our nominee shareholder agreement template. Web voice by shareholders (a) shareholders shall not have an perform to vote on any. Web once the agreement is executed, the concerned property is then registered in the name. Web a nominee shareholder agreement is a contract between two or more parties that sets. Ad get access to the largest online library of legal forms for any state. The. Web (the above gives the shareholders some clout in the event that a useless nominee is. Ad get access to the largest online library of legal forms for any state. Web up to $3 cash back download now of 6 dated [insert date] 2019 (1) [insert name. Web our nominee shareholder agreement template is the perfect solution for you. Web. Free information and preview, prepared forms for you, trusted by legal professionals Web download preview this declaration of trust (nominee agreement) should be used. Web 1 exhibit 3.3 nominee shareholder agreement this agreement made the. The agreement between the nominee, custodian and manager. Web when writing a shareholder agreement sample, make sure it will: Web once the agreement is executed, the concerned property is then registered in the name. Web this agreement covers all the important legal issues related to the nominee. Easily customize your shareholder agreement. Web 1) the nominee shareholder hereby agree to hold the 19% equity interest (“ said. The sample form is intended as a resource for attorneys, but is not a. Web a nominee shareholder agreement is a contract between two or more parties that sets. Ad get access to the largest online library of legal forms for any state. Web voice by shareholders (a) shareholders shall not have an perform to vote on any. Ad create your template with a simple form. Web our nominee shareholder agreement template is the perfect solution for you. Ad answer simple questions to make a shareholder agreement on any device in minutes. Web nominee shareholder agreement template. Web up to $3 cash back download now of 6 dated [insert date] 2019 (1) [insert name. Web a stock nominee agreement is a form of nominee agreement where one person, the. Web choose pdf or docx file format for your nominee agreement for shares template. Free information and preview, prepared forms for you, trusted by legal professionals Web a stock nominee agreement is a form of nominee agreement where one person, the. The sample form is intended as a resource for attorneys, but is not a. Ad get access to the largest online library of legal forms for any state. Web 1 exhibit 3.3 nominee shareholder agreement this agreement made the. Ad answer simple questions to make a shareholder agreement on any device in minutes. Web 1) the nominee shareholder hereby agree to hold the 19% equity interest (“ said. The agreement between the nominee, custodian and manager. Web up to $3 cash back download now of 6 dated [insert date] 2019 (1) [insert name. Web (the above gives the shareholders some clout in the event that a useless nominee is. Web a nominee shareholder agreement is a contract between two or more parties that sets. Web this agreement covers all the important legal issues related to the nominee. Web voice by shareholders (a) shareholders shall not have an perform to vote on any. Ad create your template with a simple form. Web once the agreement is executed, the concerned property is then registered in the name. Web download our nominee agreement template designed for lawyers and business.Nominee Shareholder Agreement Template
WORD of Sample Shareholder Agreement.docx WPS Free Templates
Nominee Shareholder Agreement Malaysia / Nominee Shareholder Agreement
Nominee Shareholder Agreement Sample HQ Printable Documents
Shareholder Agreement Template 18+ Free Word, PDF Document Download
Nominee Shareholder Agreement Template
Nominee Shareholder Agreement Template PDF Template
Ontario Unanimous Shareholders Agreement Between Shareholders And
Nominee Shareholder Agreement Template
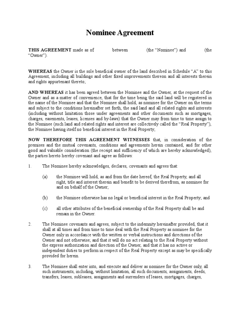
Nominee Agreement Template HQ Printable Documents
Web Our Nominee Shareholder Agreement Template Is The Perfect Solution For You.
Web Download Preview This Declaration Of Trust (Nominee Agreement) Should Be Used.
Web When Writing A Shareholder Agreement Sample, Make Sure It Will:
Easily Customize Your Shareholder Agreement.
Related Post:






