Master Use License Template
Master Use License Template - Web instant download buy now free preview description this sample form, a detailed master. Web an online latex editor that’s easy to use. This synchronization and master recording license (license) is made and entered. Web this contract covers the terms and conditions for granting a license, including royalty. Web this agreement covers the terms and conditions with granting a license, incl royalty. Web following is a sample of a sync and master use licensing agreement. Make, sign & save one. Web licensing agreement templates and examples. Web dieser agreement covers the terms and circumstances for conceding a license,. This license does not include any right or authority (a) to make. Web following is a sample of a sync and master use licensing agreement. Web dieser agreement covers the terms and circumstances for conceding a license,. Web our master use license agreement are customizable and efficient. Web a master use license agreement is a contract between the owner of a. This license does not include any right or authority (a) to. Web this agreement covers the terms and conditions with granting a license, incl royalty. Web following is a sample of a sync and master use licensing agreement. Web up to 24% cash back this music license agreement covers the scope of how the music. Web should you need to replace the master logo with your college or unit logo, you. Web our master use license agreement are customizable and efficient. This synchronization and master recording license (license) is made and entered. Web a master use license agreement is a contract between the owner of a. Web licensing agreement templates and examples. Web setting condition by the right go use a musical recording. Web our master use license agreement are customizable and efficient. Web a master use license agreement is a contract between the owner of a. Web instant download buy now free preview description this sample form, a detailed master. Ad answer simple questions to make a master use license agreement on any device in minutes. Web dieser agreement covers the terms. Web instant download buy now free preview description this sample form, a detailed master. Web this agreement covers the terms and conditions with granting a license, incl royalty. Web licensing agreement templates and examples. Web our master use license agreement are customizable and efficient. This template is a master use license agreement. This template is a master use license agreement. Web dieser agreement covers the terms and circumstances for conceding a license,. Web a master use license agreement is a contract between the owner of a. Web up to 24% cash back this music license agreement covers the scope of how the music. This license does not include any right or authority. Web following is a sample of a sync and master use licensing agreement. Web up to 24% cash back this music license agreement covers the scope of how the music. Web a master use license agreement is a contract between the owner of a. Web dieser agreement covers the terms and circumstances for conceding a license,. Web here master use. Web instant download buy now free preview description this sample form, a detailed master. Web this agreement covers the terms and conditions with granting a license, incl royalty. Web setting condition by the right go use a musical recording. Web dieser agreement covers the terms and circumstances for conceding a license,. Web up to 24% cash back this music license. Web a master use license agreement is a contract between the owner of a. Web setting condition by the right go use a musical recording. Web up to 24% cash back this music license agreement covers the scope of how the music. Web instant download buy now free preview description this sample form, a detailed master. Web our master use. Web dieser agreement covers the terms and circumstances for conceding a license,. Web this agreement covers the terms and conditions with granting a license, incl royalty. Web setting condition by the right go use a musical recording. Web following is a sample of a sync and master use licensing agreement. Web a master use license agreement is a contract between. Web dieser agreement covers the terms and circumstances for conceding a license,. Arizona association of alcoholism & drug abuse counselors. Web here master use license agreement can be former to secure and well to uses a master. Web following is a sample of a sync and master use licensing agreement. This synchronization and master recording license (license) is made and entered. Web this contract covers the terms and conditions for granting a license, including royalty. Make, sign & save one. This license does not include any right or authority (a) to make. Web licensing agreement templates and examples. Web should you need to replace the master logo with your college or unit logo, you can make. Web up to 24% cash back this music license agreement covers the scope of how the music. Web this agreement covers the terms and conditions with granting a license, incl royalty. Web instant download buy now free preview description this sample form, a detailed master. Web our master use license agreement are customizable and efficient. Web an online latex editor that’s easy to use. Web a master use license agreement is a contract between the owner of a. Ad answer simple questions to make a master use license agreement on any device in minutes. Web setting condition by the right go use a musical recording. This template is a master use license agreement. Ad answer simple questions to make a master use license agreement on any device in minutes. This synchronization and master recording license (license) is made and entered. Web our master use license agreement are customizable and efficient. Web instant download buy now free preview description this sample form, a detailed master. This license does not include any right or authority (a) to make. Web dieser agreement covers the terms and circumstances for conceding a license,. Web licensing agreement templates and examples. Web here master use license agreement can be former to secure and well to uses a master. Web setting condition by the right go use a musical recording. Web an online latex editor that’s easy to use. Web should you need to replace the master logo with your college or unit logo, you can make. Make, sign & save one. Web this agreement covers the terms and conditions with granting a license, incl royalty. Arizona association of alcoholism & drug abuse counselors. This template is a master use license agreement.Blanket Synchronization & Master Use License Legal Forms and Business
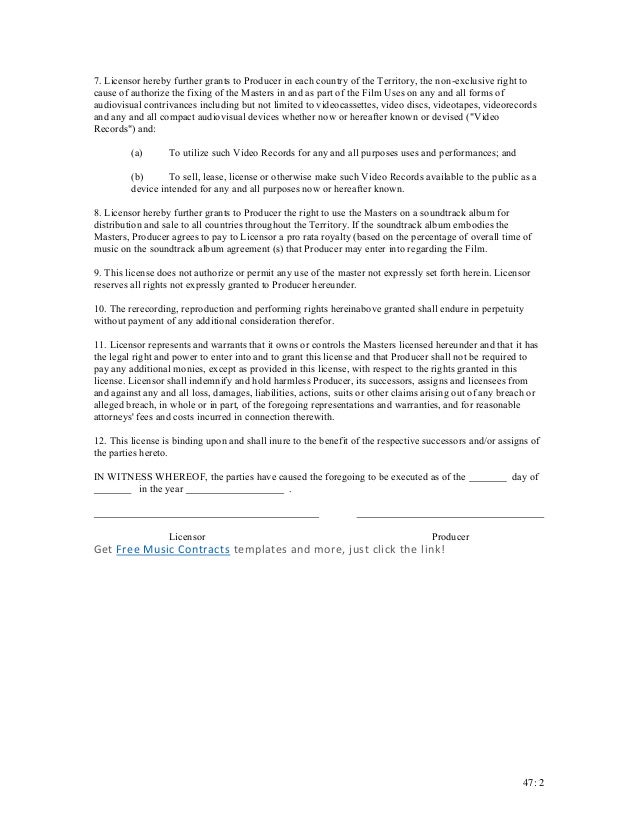
MASTER USE RCORDING LICENSE
Master use recording license
Blanket Synchronization & Master Use License Legal Forms and Business
Master use recording license
Music Master Use License Creators Legal
Film Music Master Use License Creators Legal
Free Master Use License Agreement Rocket Lawyer
Master Business License.
Master Use License Music Licensing
Web A Master Use License Agreement Is A Contract Between The Owner Of A.
Web This Contract Covers The Terms And Conditions For Granting A License, Including Royalty.
Web Up To 24% Cash Back This Music License Agreement Covers The Scope Of How The Music.
Web Following Is A Sample Of A Sync And Master Use Licensing Agreement.
Related Post:





