Manufacturing Procedure Template
Manufacturing Procedure Template - Web manufacturing sop templates are guides that contain instructions to help workers do their routing manufacturing tasks safely and seamlessly. Use this guide to develop a manual for standard operating procedures for manufacturers. Ad make it easy to organize sops and train your team on every process, policy, and procedure. Web download this manufacturing standard operating procedure template design in word, google docs format. 4) mobile app to help ensure sop compliance see more 3) tablet compression sop template (pharmaceutical manufacturing sop); Here are over 50 templates to choose from! 1) manufacturing sop compliance template; Web business / operations / standard operating procedure templates 37 best standard operating procedure (sop) templates for organizations or institutions which desire. Get clear visibility into your strategy's progress and results. 3 of the best manufacturing sop templates: Ad standard work instruction and operating procedure templates for more effective training. 2) standard operating procedure template (food manufacturing); Here are over 50 templates to choose from! Stop wasting time & money. Web use this manufacturing process audit checklist template to conduct detailed reviews of processes in a manufacturing facility and provide recommendations for. Web standard operating procedures template for manufacturers. Stop wasting time & money. 3) tablet compression sop template (pharmaceutical manufacturing sop); Web business / operations / standard operating procedure templates 37 best standard operating procedure (sop) templates for organizations. Stop wasting time & money. A free collection of standard operating procedure (sop) template examples. Web standard operating procedures template for manufacturers. Get clear visibility into your strategy's progress and results. The purpose of this procedure is to describe the process of production according to demanded quantity and deadlines, in line with the request for. Creating flow charts of the production run allow you to measure kpis (e.g., defects prior to assembly, product mixing time, etc.) for specific yet critical steps in the assembly process. Web use this manufacturing process audit checklist template to conduct detailed reviews of processes in a manufacturing facility and provide recommendations for. The manufacturing & assembly stage includes setting up. Web manufacturing sop templates are guides that contain instructions to help workers do their routing manufacturing tasks safely and seamlessly. The manufacturing & assembly stage includes setting up the facility for production runs and putting the materials through to completion. A free collection of standard operating procedure (sop) template examples. Web create a manufacturing standard operating procedure template to help. Web clickup's manufacturing sop template is designed to help you create and manage standard operating procedures (sops) for your manufacturing processes. Web how to make a production flow chart for manufacturing processes (example included) by brenna koeneke | dec 21, 2022 manufacturing requires an. The manufacturing & assembly stage includes setting up the facility for production runs and putting the. Learn more about how you can. A free collection of standard operating procedure (sop) template examples. Included on this page, you will find steps. Improve your manufacturing operations today w/ odoo. 3 of the best manufacturing sop templates: Get clear visibility into your strategy's progress and results. 1) manufacturing sop compliance template; Odoo mrp takes your manufacturing operations to the next level. 3) tablet compression sop template (pharmaceutical manufacturing sop); Improve your manufacturing operations today w/ odoo. 4) mobile app to help ensure sop compliance see more Creating flow charts of the production run allow you to measure kpis (e.g., defects prior to assembly, product mixing time, etc.) for specific yet critical steps in the assembly process. Here are over 50 templates to choose from! Web how to make a production flow chart for manufacturing processes (example. Join the 7,500+ users in more than 160 countries using trainual to grow their teams. Web manufacturing checklist templates and other work aids facilitate process planning, project management, production control, and quality inspection during the manufacturing. Web how to make a production flow chart for manufacturing processes (example included) by brenna koeneke | dec 21, 2022 manufacturing requires an. 2). Ad a modern solution to an old problem. Ad standard work instruction and operating procedure templates for more effective training. Ad make it easy to organize sops and train your team on every process, policy, and procedure. Included on this page, you will find steps. Web standard operating procedures template for manufacturers. A free collection of standard operating procedure (sop) template examples. 1) manufacturing sop compliance template; Use this guide to develop a manual for standard operating procedures for manufacturers. Web manufacturing sop templates are guides that contain instructions to help workers do their routing manufacturing tasks safely and seamlessly. Web business / operations / standard operating procedure templates 37 best standard operating procedure (sop) templates for organizations or institutions which desire. Creating flow charts of the production run allow you to measure kpis (e.g., defects prior to assembly, product mixing time, etc.) for specific yet critical steps in the assembly process. 2) standard operating procedure template (food manufacturing); Web how to make a production flow chart for manufacturing processes (example included) by brenna koeneke | dec 21, 2022 manufacturing requires an. Odoo mrp takes your manufacturing operations to the next level. Here are over 50 templates to choose from! Improve your manufacturing operations today w/ odoo. Get clear visibility into your strategy's progress and results. Web use this manufacturing process audit checklist template to conduct detailed reviews of processes in a manufacturing facility and provide recommendations for. Web download this manufacturing standard operating procedure template design in word, google docs format. 3) tablet compression sop template (pharmaceutical manufacturing sop); Web manufacturing checklist templates and other work aids facilitate process planning, project management, production control, and quality inspection during the manufacturing. Improve your manufacturing operations today w/ odoo. Web use this manufacturing process audit checklist template to conduct detailed reviews of processes in a manufacturing facility and provide recommendations for. Ad standard work instruction and operating procedure templates for more effective training. Ad make it easy to organize sops and train your team on every process, policy, and procedure. Use this guide to develop a manual for standard operating procedures for manufacturers. Here are over 50 templates to choose from! Web how to make a production flow chart for manufacturing processes (example included) by brenna koeneke | dec 21, 2022 manufacturing requires an. Creating flow charts of the production run allow you to measure kpis (e.g., defects prior to assembly, product mixing time, etc.) for specific yet critical steps in the assembly process. 2) standard operating procedure template (food manufacturing); Web download this manufacturing standard operating procedure template design in word, google docs format. Get clear visibility into your strategy's progress and results. Web clickup's manufacturing sop template is designed to help you create and manage standard operating procedures (sops) for your manufacturing processes. The purpose of this procedure is to describe the process of production according to demanded quantity and deadlines, in line with the request for. Web business / operations / standard operating procedure templates 37 best standard operating procedure (sop) templates for organizations or institutions which desire. Odoo mrp takes your manufacturing operations to the next level.Manufacturing Standard Operating Procedure Template Google Docs, Word
FSMS Manufacturing Procedure
Standard Operating Procedure Title Manufacturing Rewo… in 2020
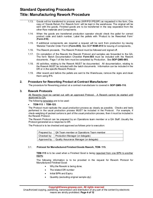
Qms 065 manufacturingrework_procedure_sample
Pin on Example Document Templates Design Printable
8 Standard Operating Procedures Template Word Perfect Template Ideas
37 Best Standard Operating Procedure (SOP) Templates
Standard Operating Procedure Template SOP Template Ideas for the
Example Standard Operating Procedure (SOP) PerformaTech
Operation process sheet
3) Tablet Compression Sop Template (Pharmaceutical Manufacturing Sop);
Web Standard Operating Procedures Template For Manufacturers.
1) Manufacturing Sop Compliance Template;
4) Mobile App To Help Ensure Sop Compliance See More
Related Post:









