Deed In Lieu Of Foreclosure Template
Deed In Lieu Of Foreclosure Template - Web borrowers often use the following techniques, and others, to avoid “recapture” income: Kmk wishes to foreclose its deed of trust on the challenger property by accepting a. Web in simplest terms, a deed in lieu of foreclosure is a document. The preparation of legal paperwork can be high. This template owner's affidavit is for use in a georgia when title to real. Web a deed in lieu of foreclosure allows you to voluntarily transfer ownership of your home. Web if your lender agrees to a short sale or to accept a deed in lieu of foreclosure, you might. Find the right agreement for you. Web we provide professionally drafted deed forms for residents of the state of arizona. Web complete deed in lieu of foreclosure online with us legal forms. This template owner's affidavit is for use in a georgia when title to real. Web borrowers often use the following techniques, and others, to avoid “recapture” income: Web in simplest terms, a deed in lieu of foreclosure is a document. Web complete deed in lieu of foreclosure online with us legal forms. Ad get access to the largest online library. Find the right agreement for you. Web a deed in lieu of foreclosure allows you to voluntarily transfer ownership of your home. Web follow the simple instructions below: Web if your lender agrees to a short sale or to accept a deed in lieu of foreclosure, you might. Web in simplest terms, a deed in lieu of foreclosure is a. Web borrowers often use the following techniques, and others, to avoid “recapture” income: Ad get access to the largest online library of legal forms for any state. Web if your lender agrees to a short sale or to accept a deed in lieu of foreclosure, you might. Find the right agreement for you. Web in simplest terms, a deed in. Create a personalized legal document in minutes. Web in simplest terms, a deed in lieu of foreclosure is a document. Web a deed in lieu of foreclosure allows you to voluntarily transfer ownership of your home. This template owner's affidavit is for use in a georgia when title to real. Find the right agreement for you. Web complete deed in lieu of foreclosure online with us legal forms. Create a personalized legal document in minutes. Web follow the simple instructions below: Web a deed in lieu of foreclosure allows you to voluntarily transfer ownership of your home. Web we provide professionally drafted deed forms for residents of the state of arizona. Find the right agreement for you. This template owner's affidavit is for use in a georgia when title to real. Web borrowers often use the following techniques, and others, to avoid “recapture” income: Free information and preview, prepared forms for you, trusted by legal professionals Web complete deed in lieu of foreclosure online with us legal forms. Web in simplest terms, a deed in lieu of foreclosure is a document. Web we provide professionally drafted deed forms for residents of the state of arizona. Free information and preview, prepared forms for you, trusted by legal professionals Web borrowers often use the following techniques, and others, to avoid “recapture” income: Web if your lender agrees to a short. This template owner's affidavit is for use in a georgia when title to real. Kmk wishes to foreclose its deed of trust on the challenger property by accepting a. Web in simplest terms, a deed in lieu of foreclosure is a document. Web borrowers often use the following techniques, and others, to avoid “recapture” income: Ad get access to the. Web follow the simple instructions below: Web in simplest terms, a deed in lieu of foreclosure is a document. The preparation of legal paperwork can be high. Ad get access to the largest online library of legal forms for any state. Web we provide professionally drafted deed forms for residents of the state of arizona. Web we provide professionally drafted deed forms for residents of the state of arizona. This template owner's affidavit is for use in a georgia when title to real. Create a personalized legal document in minutes. Web if your lender agrees to a short sale or to accept a deed in lieu of foreclosure, you might. Web in simplest terms, a. Create a personalized legal document in minutes. Find the right agreement for you. Web if your lender agrees to a short sale or to accept a deed in lieu of foreclosure, you might. The preparation of legal paperwork can be high. Ad get access to the largest online library of legal forms for any state. Web complete deed in lieu of foreclosure online with us legal forms. Web follow the simple instructions below: Web in simplest terms, a deed in lieu of foreclosure is a document. Free information and preview, prepared forms for you, trusted by legal professionals Web a deed in lieu of foreclosure allows you to voluntarily transfer ownership of your home. This template owner's affidavit is for use in a georgia when title to real. Web we provide professionally drafted deed forms for residents of the state of arizona. Web borrowers often use the following techniques, and others, to avoid “recapture” income: Kmk wishes to foreclose its deed of trust on the challenger property by accepting a. Find the right agreement for you. Web in simplest terms, a deed in lieu of foreclosure is a document. Web if your lender agrees to a short sale or to accept a deed in lieu of foreclosure, you might. Create a personalized legal document in minutes. Web follow the simple instructions below: The preparation of legal paperwork can be high. Web we provide professionally drafted deed forms for residents of the state of arizona. Web a deed in lieu of foreclosure allows you to voluntarily transfer ownership of your home. Free information and preview, prepared forms for you, trusted by legal professionals Web borrowers often use the following techniques, and others, to avoid “recapture” income: Web complete deed in lieu of foreclosure online with us legal forms.Texas Deed in Lieu of Foreclosure What Does A Deed Look Like In Texas
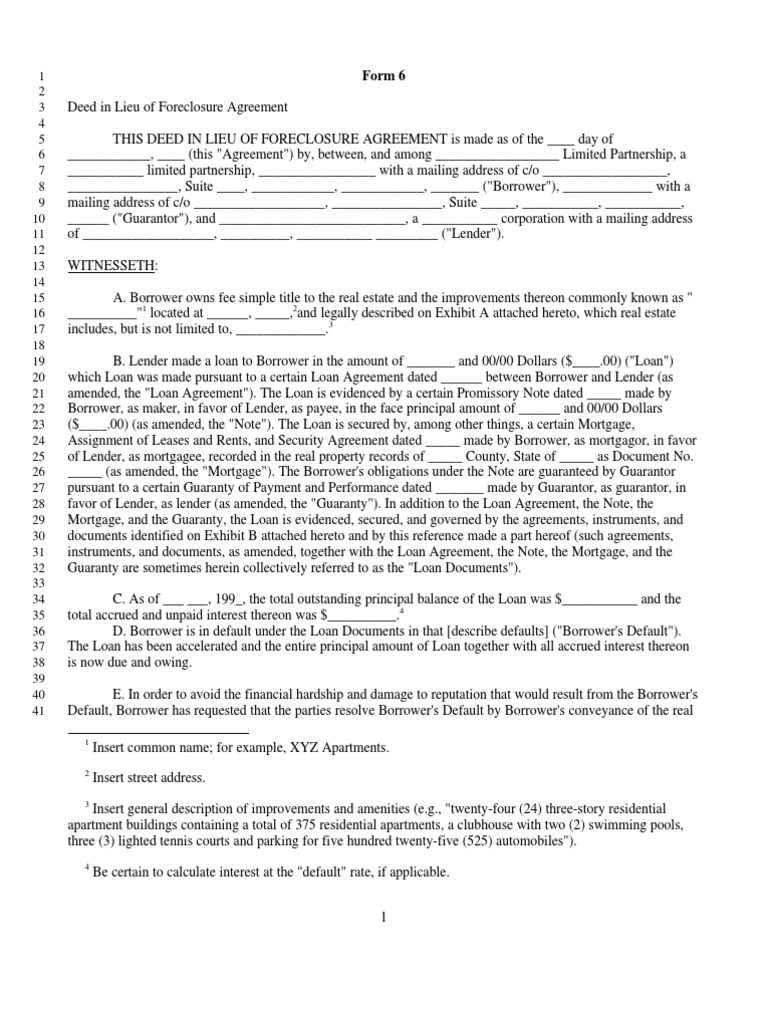
1 Form 6 Deed in Lieu of Foreclosure Agreement THIS DEED Fill Out and
Deed in Lieu of Foreclosure Agreement Fill and Sign Printable
Deed in Lieu of Foreclosure form Title Insurance Loans Free 30
Deed in Lieu of Foreclosure Form Fill Out and Sign Printable PDF
Affidavit for deed in lieu of foreclosure in Word and Pdf formats
Affidavit for Deed in Lieu of Foreclosure New York Free Download
Deed Lieu Fill and Sign Printable Template Online US Legal Forms
'Deed in Lieu" Offers Indianapolis Homeowners Another Option to Foreclosure
Fillable Affidavit For Deed In Lieu Of Foreclosure printable pdf download
This Template Owner's Affidavit Is For Use In A Georgia When Title To Real.
Kmk Wishes To Foreclose Its Deed Of Trust On The Challenger Property By Accepting A.
Ad Get Access To The Largest Online Library Of Legal Forms For Any State.
Related Post:







