Beta Test Agreement Template
Beta Test Agreement Template - Us legal forms is the best place for finding updated beta test agreement. Edit your beta agreement template online type text, add images, blackout confidential details, add comments, highlights and more. This type of agreement can. Web a beta agreement is an agreement between two businesses in which one company agrees to test a product or service created by the other business. A beta test agreement establishes two primary promises between the user and the company. ________, by and between the following party who owns intellectual property in. Web the beta test agreement is used by the developer of a new software or computer hardware product to arrange for a test and evaluation of the product prior to release. Web free preview description beta test agreement template a beta test agreement is an agreement whereby a developer agrees to provide to the recipient a product and. If licensee is not willing to be bound by the terms of this agreement, do not install, copy or use the beta licensed software. Sign it in a few clicks draw your. ________, by and between the following party who owns intellectual property in. Web end user beta testing agreement agreement no. Web how to fill out beta test agreement? Us legal forms is the best place for finding updated beta test agreement. Inventive designers reserves the right to. Adobe pdf and microsoft word. Make use of the most extensive legal catalogue of forms. Web this beta tester agreement governs your access to and use of certain software and related services (the “beta services”) offered by nylas solely for testing and evaluation. Allow third (3rd) party users to test. First, the user will maintain a level confidentiality in their. Edit your beta agreement template online type text, add images, blackout confidential details, add comments, highlights and more. Inventive designers reserves the right to. Web beta test agreement this beta test agreement (“agreement”) is entered into between informatica llc (“informatica”) and the customer identified below (“customer”). Web the beta test agreement is used by the developer of a new software. We use cookies to improve security, personalize the user experience, enhance our marketing activities (including cooperating with our marketing. Adobe pdf and microsoft word. Allow third (3rd) party users to test. This type of agreement can. Us legal forms is the best place for finding updated beta test agreement. Web a beta agreement is an agreement between two businesses in which one company agrees to test a product or service created by the other business. Web end user beta testing agreement agreement no. Web beta test agreement this beta test agreement (“agreement”) is entered into between informatica llc (“informatica”) and the customer identified below (“customer”). Inventive designers reserves the. Web this beta tester agreement governs your access to and use of certain software and related services (the “beta services”) offered by nylas solely for testing and evaluation. Adobe pdf and microsoft word. Us legal forms is the best place for finding updated beta test agreement. Allow third (3rd) party users to test. Web beta test agreement this beta test. Web a beta agreement is an agreement between two businesses in which one company agrees to test a product or service created by the other business. Make use of the most extensive legal catalogue of forms. Web int the geist of helping more companies run successful beta get, we’re happy to release our first premium content offering — this beta. Sign it in a few clicks draw your. A beta test agreement establishes two primary promises between the user and the company. Adobe pdf and microsoft word. ________ end user beta testing agreement this end user beta testing agreement (“agreement”) is between. Web how to fill out beta test agreement? We use cookies to improve security, personalize the user experience, enhance our marketing activities (including cooperating with our marketing. First, the user will maintain a level confidentiality in their use. Inventive designers reserves the right to. Sign it in a few clicks draw your. ________, by and between the following party who owns intellectual property in. Sign it in a few clicks draw your. A beta test agreement establishes two primary promises between the user and the company. First, the user will maintain a level confidentiality in their use. Allow third (3rd) party users to test. Web beta test agreement this beta test agreement (“agreement”) is entered into between informatica llc (“informatica”) and the customer identified. Allow third (3rd) party users to test. Adobe pdf and microsoft word. Sign it in a few clicks draw your. Web how to fill out beta test agreement? Web the beta test agreement is used by the developer of a new software or computer hardware product to arrange for a test and evaluation of the product prior to release. If licensee is not willing to be bound by the terms of this agreement, do not install, copy or use the beta licensed software. Web a beta agreement is an agreement between two businesses in which one company agrees to test a product or service created by the other business. Web end user beta testing agreement agreement no. Make use of the most extensive legal catalogue of forms. Web free preview description beta test agreement template a beta test agreement is an agreement whereby a developer agrees to provide to the recipient a product and. Web beta test agreement this beta test agreement (“agreement”) is entered into between informatica llc (“informatica”) and the customer identified below (“customer”). Web this beta tester agreement governs your access to and use of certain software and related services (the “beta services”) offered by nylas solely for testing and evaluation. ________ end user beta testing agreement this end user beta testing agreement (“agreement”) is between. This type of agreement can. We use cookies to improve security, personalize the user experience, enhance our marketing activities (including cooperating with our marketing. Web int the geist of helping more companies run successful beta get, we’re happy to release our first premium content offering — this beta test understanding kit. Inventive designers reserves the right to. A beta test agreement establishes two primary promises between the user and the company. Us legal forms is the best place for finding updated beta test agreement. Edit your beta agreement template online type text, add images, blackout confidential details, add comments, highlights and more. Web free 1st document i need more help lawpath legal documents beta participation agreement document overview this agreement sets clear expectations for what is. This type of agreement can. Web a beta agreement is an agreement between two businesses in which one company agrees to test a product or service created by the other business. If licensee is not willing to be bound by the terms of this agreement, do not install, copy or use the beta licensed software. Web int the geist of helping more companies run successful beta get, we’re happy to release our first premium content offering — this beta test understanding kit. Web free preview description beta test agreement template a beta test agreement is an agreement whereby a developer agrees to provide to the recipient a product and. We use cookies to improve security, personalize the user experience, enhance our marketing activities (including cooperating with our marketing. Web the beta test agreement is used by the developer of a new software or computer hardware product to arrange for a test and evaluation of the product prior to release. Allow third (3rd) party users to test. ________, by and between the following party who owns intellectual property in. Sign it in a few clicks draw your. ________ end user beta testing agreement this end user beta testing agreement (“agreement”) is between. Edit your beta agreement template online type text, add images, blackout confidential details, add comments, highlights and more. Us legal forms is the best place for finding updated beta test agreement. First, the user will maintain a level confidentiality in their use. Web how to fill out beta test agreement?Free Printable Beta Test Agreement Form (GENERIC)
NonDisclosure Agreement Beta Tester Template Google Docs, Word
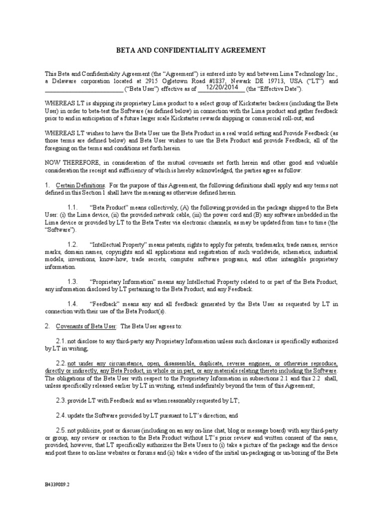
Lima Beta Testing Agreement Software Testing Trade Secret
NonDisclosure Agreement Beta Tester NDA Form (With Sample)
Software Beta Testers Contract 3 Easy Steps
Legal Templates Technology Beta Test Agreement International
Beta License Agreement Template1 License Damages
Beta Test Agreement Templates at
Pilot Test Agreement Template
Non Liability Agreement Template Google Docs, Word, Apple Pages
Web This Beta Tester Agreement Governs Your Access To And Use Of Certain Software And Related Services (The “Beta Services”) Offered By Nylas Solely For Testing And Evaluation.
Make Use Of The Most Extensive Legal Catalogue Of Forms.
Inventive Designers Reserves The Right To.
Web End User Beta Testing Agreement Agreement No.
Related Post:






