Audio Recording Consent Form Template
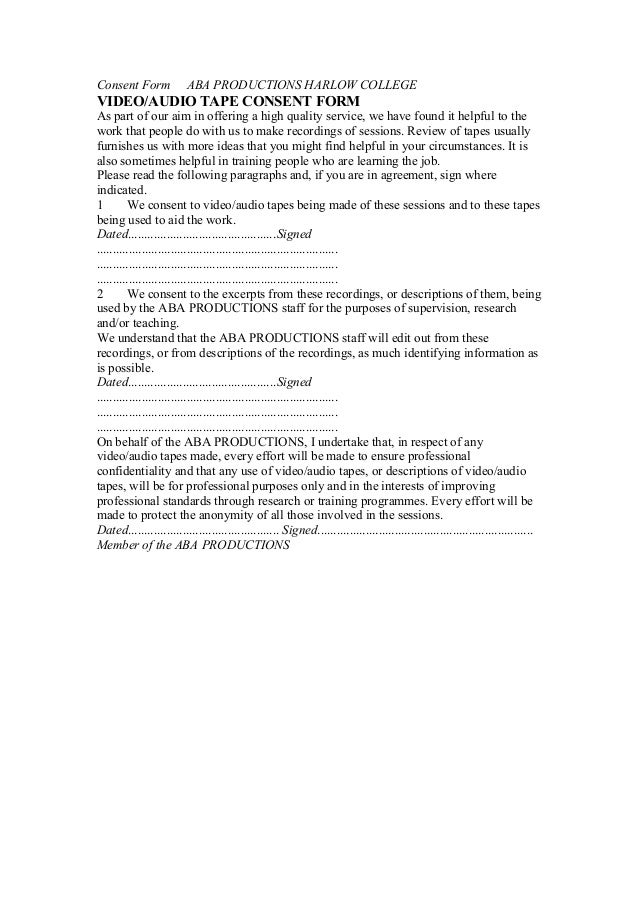
Audio Recording Consent Form Template - I can revoke my permission. Web photograph, video or audio recording consent form. Audio and video recording tips in remote research. Details of the release this includes permissions, what state's laws will govern this. Web submitting the audio recording consent form template 13372480 with signnow will give better confidence that the output document will be legally binding and safeguarded. If you are using a recording device, you should include additional information in your consent form, assent form, and/or oral consent. Web and permission to disclose the camper’s identity and to reproduce in whole or in part, in every manner or form, and circulate, distribute, show, play, or otherwise display. I may also request that the tape, or any portion of it, be erased. Web phonic & video transcription translate your audio conversely video into 99% accurate text by a professional. Web informed consent for recording devices. Web informed consent for recording devices. An audio release form is a document used for transferring rights to a piece. Shared by lindajohansson in consent forms. I can request that the audio recorder or video recorder be turned off at any time. Audio taping and video recording the sessions are a significant component of counselor training. Web photograph, video or audio recording consent form. I can revoke my permission. Web the following article will outline several tips for researchers when recording research activities: Save or instantly send your ready. Web if audio or videotaping participants, the following information must be included on the informed consent form: Web although each contains different focuses, you could mixing and match various types of consent or publication form verbiage to create a consent and release. Automated transcription the most precisely ai. Web video instructions and help with filling out and completing audio recording consent form template. Web if audio or videotaping participants, the following information must be included on the. An audio release form is a document used for transferring rights to a piece. This template includes features available in. Web and permission to disclose the camper’s identity and to reproduce in whole or in part, in every manner or form, and circulate, distribute, show, play, or otherwise display. Web the following article will outline several tips for researchers when. Read all the field labels carefully. I can revoke my permission. * purpose of taping and what tapes will be used for * where. Web although each contains different focuses, you could mixing and match various types of consent or publication form verbiage to create a consent and release. Shared by lindajohansson in consent forms. Audio and video recording tips in remote research. Web updated july 31, 2023. I hereby grant [your company name] the right to use my testimonial as described above. Web informed consent is a cornerstone principal of ethical human subjects research. Web although each contains different focuses, you could mixing and match various types of consent or publication form verbiage to. Easily fill out pdf blank, edit, and sign them. Save or instantly send your ready. Web although each contains different focuses, you could mixing and match various types of consent or publication form verbiage to create a consent and release. An audio release form is a document used for transferring rights to a piece. I hereby grant [your company name]. Web informed consent is a cornerstone principal of ethical human subjects research. Easily fill out pdf blank, edit, and sign them. Audio taping and video recording the sessions are a significant component of counselor training. Web although each contains different focuses, you could mixing and match various types of consent or publication form verbiage to create a consent and release.. An audio release form is a document used for transferring rights to a piece. Find forms for your industry in minutes. Web consent and agreement. Web informed consent for recording devices. Find a suitable template on the internet. The european environment agency (eea) encourages europeans to voice their opinions and ideas about the environment. * purpose of taping and what tapes will be used for * where. If you are using a recording device, you should include additional information in your consent form, assent form, and/or oral consent. Audio and video recording tips in remote research. Web pk. Web video instructions and help with filling out and completing audio recording consent form template. Web photograph, video or audio recording consent form. The european environment agency (eea) encourages europeans to voice their opinions and ideas about the environment. I hereby grant [your company name] the right to use my testimonial as described above. Details of the release this includes permissions, what state's laws will govern this. Audio and video recording tips in remote research. A video consent form is written permission given by an individual to an entity/organization for the use of their name, image, and/or interview statements for publication. Automated transcription the most precisely ai. Web get the employee call recording consent form accomplished. Web create now view sample here's the info you'll need to have handy to complete your doc: Web if audio or videotaping participants, the following information must be included on the informed consent form: Web informed consent is a cornerstone principal of ethical human subjects research. Streamlined document workflows for any industry. Audio taping and video recording the sessions are a significant component of counselor training. Web submitting the audio recording consent form template 13372480 with signnow will give better confidence that the output document will be legally binding and safeguarded. This consent comes without compensation, regardless of the amount of. Easily fill out pdf blank, edit, and sign them. An audio release form is a document used for transferring rights to a piece. Shared by lindajohansson in consent forms. Researchers must ensure prospective participants receive information about the study,. Web and permission to disclose the camper’s identity and to reproduce in whole or in part, in every manner or form, and circulate, distribute, show, play, or otherwise display. Web if audio or videotaping participants, the following information must be included on the informed consent form: This consent comes without compensation, regardless of the amount of. This template includes features available in. Web informed consent for recording devices. Web consent and agreement. Researchers must ensure prospective participants receive information about the study,. An audio release form is a document used for transferring rights to a piece. I hereby grant [your company name] the right to use my testimonial as described above. * purpose of taping and what tapes will be used for * where. Details of the release this includes permissions, what state's laws will govern this. Web video instructions and help with filling out and completing audio recording consent form template. Web although each contains different focuses, you could mixing and match various types of consent or publication form verbiage to create a consent and release. Web photograph, video or audio recording consent form. Streamlined document workflows for any industry. Easily fill out pdf blank, edit, and sign them.Audio permission aba productions media
Consent form for purposedfutured
Consent Form For Audio Recording FREE 8+ Sample Video Consent Forms
Consent Form For Audio Recording FREE 8+ Sample Video Consent Forms
Free Video Consent Form Word PDF eForms
FREE 9+ Sample Video Consent Forms in PDF MS Word
Video And Audio Surveillance Consent Form Fill Online, Printable
Consent form for purposedfutured
Consent to Audio/Video Record Therapy Session
Consent Form For Audio Recording FREE 8+ Sample Video Consent Forms
A Video Consent Form Is Written Permission Given By An Individual To An Entity/Organization For The Use Of Their Name, Image, And/Or Interview Statements For Publication.
I Can Request That The Audio Recorder Or Video Recorder Be Turned Off At Any Time.
Find A Suitable Template On The Internet.
Web Updated July 31, 2023.
Related Post:









