Affidavit Of Common Law Marriage Template
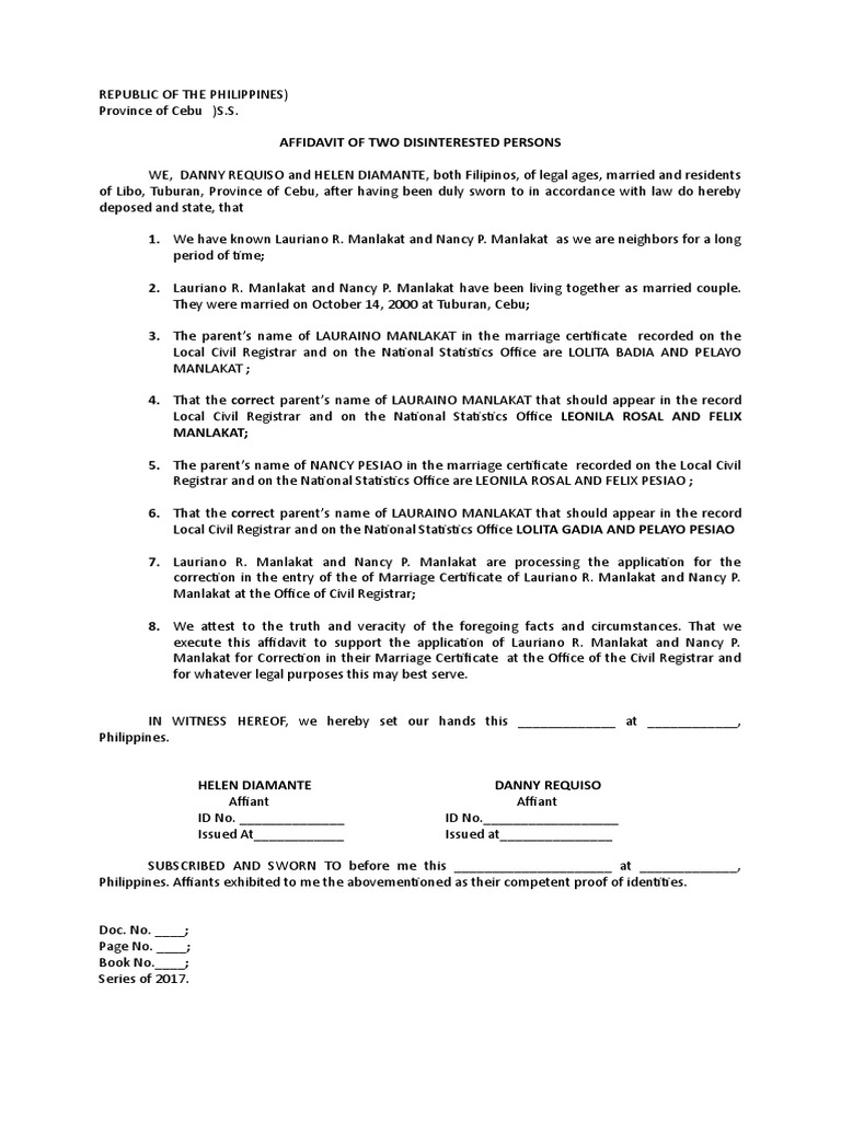
Affidavit Of Common Law Marriage Template - Web edit & sign from anywhere save your changes and rate the common law marriage texas 4.6 satisfied 97 votes quick guide on how to complete common marriage affidavit. (print name of employee) (print name of common law spouse) duly sworn under oath, do declare that on or. The insurance benefits are governed by the. Web open the template in the online editor. Web 13 affidavit of marriage free download. Go through the recommendations to learn which information you have to include. Click on the fillable fields and include the requested info. Web affidavit of support marriage template details file format google docs ms word pdf size: Web in order to be common law married in south carolina the following requirements must be met: Web affidavit of common law marriage. Web an affidavit of marriage is a legal document and a sworn statement submitted to the court, university or another institution, to verify that two people are married. Web 13 affidavit of marriage free download. Web affidavit of common law marriage. Web ensure that your common law marriage is recognized with template.net's common law marriage affidavit template. Download or email. Web attached to this affidavit is a copy of formal documentary evidence of a common law marriage. Web an affidavit is a written statement made under oath that is typically used in legal proceedings. The easiest way to edit these is in doc / docx or. Web open the template in the online editor. Formslaw.com has been visited by 10k+. 52 kb download affidavit of separation of marriage template details file. Web common law marriage, also known as marriage without formalities or informal marriage, is a valid and legal way for a couple to marry in texas. Web edit & sign from anywhere save your changes and rate the common law marriage texas 4.6 satisfied 97 votes quick guide on. Web affidavit of support marriage template details file format google docs ms word pdf size: 52 kb download affidavit of separation of marriage template details file. Web common law marriage declaration form u.s. Web open the template in the online editor. This template provides a legal affidavit that verifies your. Web free indian divorce certificate common law marriage affidavit template marriage witness affidavit template affidavit of support for married couple sample template. Web affidavit of common law marriage. Download or email form 10.290 & more fillable forms, register and subscribe now! Web ensure that your common law marriage is recognized with template.net's common law marriage affidavit template. Go through the. Web attached to this affidavit is a copy of formal documentary evidence of a common law marriage. Web common law marriage declaration form u.s. Web in order to be common law married in south carolina the following requirements must be met: The common law spouse of an eligible participant may be eligible for insurance benefits. The easiest way to edit. This template provides a legal affidavit that verifies your. State of colorado affidavit of common. Web ensure that your common law marriage is recognized with template.net's common law marriage affidavit template. Web common law marriage declaration form u.s. 1) both parties must be legally free to marry (not already married to someone else. Web common law marriage, also known as marriage without formalities or informal marriage, is a valid and legal way for a couple to marry in texas. Web ensure that your common law marriage is recognized with template.net's common law marriage affidavit template. Filling in the online co affidavit of. Web affidavit of support marriage template details file format google docs. Download free printable affidavit of marriage samples in pdf, word and excel formats. State of colorado affidavit of common. When a person swears to be truthful in creating the affidavit, they are called. Download or email form 10.290 & more fillable forms, register and subscribe now! The common law spouse of an eligible participant may be eligible for insurance benefits. The insurance benefits are governed by the. Web affidavit of common law marriage. Filling in the online co affidavit of. Web affidavit of support marriage template details file format google docs ms word pdf size: 1) both parties must be legally free to marry (not already married to someone else. Web affidavit of common law marriage. Web attached to this affidavit is a copy of formal documentary evidence of a common law marriage. Web affidavit of support marriage template details file format google docs ms word pdf size: Follow the simple instructions below: Click on the fillable fields and include the requested info. Web common law marriage, also known as marriage without formalities or informal marriage, is a valid and legal way for a couple to marry in texas. Web ensure that your common law marriage is recognized with template.net's common law marriage affidavit template. Web open the template in the online editor. Web common law marriage declaration form u.s. Web first, download the affidavit of marriage by common law file in the format you are interested in. Web affidavit attesting to the existence of common law marriage by signing this affidavit below, you represent that you have established a valid marriage under. Enjoy smart fillable fields and interactivity. (print name of employee) (print name of common law spouse) duly sworn under oath, do declare that on or. Edit, sign and save common law marriage aff. 1) certificate of common law. One of the following must be provided: Web edit & sign from anywhere save your changes and rate the common law marriage texas 4.6 satisfied 97 votes quick guide on how to complete common marriage affidavit. Web an affidavit of marriage is a legal document and a sworn statement submitted to the court, university or another institution, to verify that two people are married. Web 13 affidavit of marriage free download. When a person swears to be truthful in creating the affidavit, they are called. Web get your online template and fill it in using progressive features. Download or email form 10.290 & more fillable forms, register and subscribe now! Web free indian divorce certificate common law marriage affidavit template marriage witness affidavit template affidavit of support for married couple sample template. Web affidavit of common law marriage. The common law spouse of an eligible participant may be eligible for insurance benefits. Web affidavit of support marriage template details file format google docs ms word pdf size: Filling in the online co affidavit of. Web affidavit of common law marriage. Go through the recommendations to learn which information you have to include. Click on the fillable fields and include the requested info. Formslaw.com has been visited by 10k+ users in the past month Web common law marriage declaration form u.s. 52 kb download affidavit of separation of marriage template details file. Web first, download the affidavit of marriage by common law file in the format you are interested in. Web edit & sign from anywhere save your changes and rate the common law marriage texas 4.6 satisfied 97 votes quick guide on how to complete common marriage affidavit. Web affidavit of common law marriage.Affidavit of Two Disinterested Persons Marriage Affidavit Civil
FREE 11+ Affidavit Form For Marriage Samples in MS Word PDF
Affidavit of Marriage Templates Documents, Design, Free, Download
Download Affidavit of Marriage by Common Law for Free Page 2
Affidavit of Common Law Marriage 9 Free Templates in PDF, Word, Excel
Affidavit of Common Law Marriage in Oklahoma Common Law Marriage
Affidavit of Common Law Marriage 9 Free Templates in PDF, Word, Excel
Affidavit of Common Law Marriage 9 Free Templates in PDF, Word, Excel
Common law marriage affidavit Fill Out and Sign Printable PDF
Affidavit of Common Law Marriiage Kansas Free Download
1) Certificate Of Common Law.
Web An Affidavit Is A Written Statement Made Under Oath That Is Typically Used In Legal Proceedings.
We, , And , Being.
Web In Order To Be Common Law Married In South Carolina The Following Requirements Must Be Met:
Related Post:








